
De la microbiologie pour ceux qui ont les crocs
Quand #2 peut être votre solution #1…
Written by
Rachel Dumez
Imaginez une métropole diversifiée et prospère, telle que la ville de New York. Un véritable melting-pot avec une vaste communauté qui prospère grâce à la synergie de personnes de tous horizons vivant et s’efforçant de réaliser le rêve américain dans un équilibre stable, mais délicat. Le côlon, également appelé gros intestin, est le New York de votre système gastro-intestinal (GI) et abrite une immense diversité de micro-organismes. Avec plus de 10 milliards de résidents représentant plus de 1 000 espèces et provenant de toutes les branches de l’arbre de la vie (archées, bactéries et eucaryotes), le microbiome intestinal est une métropole animée dans laquelle une cacophonie de micro-organismes travaille ensemble dans le but de vous aider à prospérer. Cette communauté, tout comme celle de New York, dépend de conditions environnementales stables pour persister et s’épanouir. Lorsqu’une catastrophe naturelle se produit, comme un ouragan de catégorie 5, les habitants sont obligés d’évacuer. Les infrastructures sont détruites et les nuisibles opportunistes peuvent faire des ravages dans les décombres. Ce niveau de dévastation peut également se produire dans votre côlon, notamment à la suite d’un traumatisme aigu ou d’une agression contre les résidents actuels, comme une opération chirurgicale suivie d’une prise d’antibiotiques.
Un agent pathogène particulièrement dangereux, responsable de près d’un demi-million d’infections par an aux États-Unis, est la bactérie Clostridium difficile (C. diff). C. diff est souvent contracté dans les hôpitaux et, si il prend le contrôle de votre microbiome intestinal, il peut provoquer des symptômes allant de ceux associés au syndrome du côlon irritable (SCI) à une colite grave, voire la mort. Heureusement, les médecins et les scientifiques ont mis au point des traitements efficaces pour rétablir le microbiome intestinal et éliminer l’impact dévastateur de l’infection par le C-diff sur votre santé. Ces traitements, bien qu’extrêmement efficaces pour résoudre les menaces aiguës du C-diff, n’éliminent pas toujours les symptômes du SCI qui ne mettent pas la vie en danger mais qui restent débilitants.
Alors, comment les médecins aident-ils votre organisme à rétablir un microbiome intestinal sain ? Et que doit-il se passer dans votre côlon pour éliminer les crampes d’estomac qui subsistent parfois après que la menace éminente d’infection par le C-diff soit passée ?
C’est ce que nous allons découvrir :
Vous entrez dans l’hôpital, vous enfilez votre blouse d’hôpital et vous vous rappelez qu’il s’agit d’une opération de routine avec un taux de réussite élevé. L’intervention se déroule bien, mais à votre insu, le micro-organisme C. diff s’est introduit dans votre tube digestif. Il parvient à traverser l’environnement hostile de l’estomac et à faire de l’auto-stop jusqu’à votre côlon, où il s’installe dans la communauté du microbiome intestinal. C’est un membre sympathique du voisinage, pour l’instant. Votre traitement postopératoire est terminé et vous recevez votre congé avec l’instruction de vous procurer des antibiotiques dans votre pharmacie locale. Vous suivez les instructions du médecin et prenez toute la dose d’antibiotique qui vous a été prescrite. Vous êtes reconnaissant que toute cette épreuve appartienne au passé. Cependant, il ne s’écoule pas un mois avant que vous ne soyez constamment assailli par des maux d’estomac, des crampes et des crises de diarrhée. Après une visite rapide chez votre médecin généraliste, vous êtes étiqueté comme faisant partie du nombre toujours croissant de personnes qui souffrent du syndrome du côlon irritable (SCI). Mais comment cela est-il arrivé ?

Le régime d’antibiotiques que vous avez pris par précaution après votre intervention est un ouragan dans votre côlon. Les habitants, vos bactéries intestinales natives, ont été contraints d’évacuer, et leur maison, votre côlon, a été gravement endommagée (Figure 1). Après la tempête, comme les rongeurs qui s’infiltrent dans une ville après une catastrophe naturelle dévastatrice, C.diff a la possibilité de prendre une place forte pendant que les citoyens rassemblent leurs repères. Dans le cas de votre côlon, le C. diff a choisi son moment. Ce pathogène opportuniste se développe dans ces conditions tumultueuses et est responsable du développement de votre syndrome du côlon irritable après la prise d’antibiotiques. Vous effectuez les tests requis et les résultats de laboratoire confirment ce que vous savez déjà : votre métropole colique, diverse et dynamique, est maintenant dominée par un parasite trop zélé qui cause des dommages accrus à votre côlon en exploitant ses voisins et en monopolisant les ressources. Alors, comment pouvez-vous vous venger de ce dangereux coup d’État et rétablir l’équilibre de votre intestin ?
Et bien, c’est là qu’un bon Samaritain intervient et partage leur numéro deux. Oui, leur caca. Des chercheurs ont montré que les transplantations fécales peuvent être extrêmement efficaces pour le traitement du C-diff et des symptômes associés du syndrome du côlon irritable [1]. Les médecins prélèvent des échantillons de selles donnés par des personnes en bonne santé, concentrent les micro-organismes, puis implantent la solution par une procédure semblable à une coloscopie (figure 2). Vous retournez donc à l’hôpital et recevez une transplantation de microbiote fécal (FMT). À l’intérieur de votre côlon, il y a un afflux massif de nouveaux résidents qui se mettent au travail pour réparer les dégâts et reconstruire une communauté dynamique qui vous aidera à nouveau à vous épanouir. Vous ressentez un soulagement presque immédiat ; vous n’avez plus de symptômes du syndrome du côlon irritable depuis des semaines et les microbes du C-diff sont introuvables dans vos résultats de laboratoire. Maintenant, vous pouvez vraiment laisser cette histoire derrière vous et reprendre votre vie en main. Heureusement, votre expérience fait partie de la majorité. Votre corps a bien réagi et votre environnement colique est redevenu “normal” avant l’opération. Mais tout le monde n’a pas cette chance.

(Infographie adaptée d’un article de Kendall Powell paru dans Knowable Magazine)
Bien que le traitement par FMT ait un taux de réussite élevé, les médecins et les scientifiques ont du mal à créer une procédure standardisée qui fonctionne pour chaque patient. Par conséquent, il est important de mieux comprendre ce qui se passe exactement à l’intérieur du côlon des patients, en particulier ceux qui répondent bien, après une TMF.
Une étude récente démontre qu’en plus d’une biodiversité restaurée, les niveaux d’indicateurs clés impliqués dans l’inflammation protectrice de type 2 sont également rétablis à un niveau de base sain après un TMF2. Dans le processus de reconstruction de leur maison dans votre intestin, votre environnement colique a également été restauré à un état sain et vos symptômes du SCI ont diminué. Malheureusement, cela ne se produit pas chez tout le monde après un TMF et les médecins et les scientifiques essaient toujours de comprendre pourquoi. L’une des hypothèses est que, même si la métropole microbienne est repeuplée d’une grande diversité d’espèces et que les parasites ont été expulsés, l’environnement n’est pas restauré et les personnes peuvent encore souffrir des symptômes du SCI. Pour poursuivre l’analogie avec la tempête, même après le passage de l’ouragan, le retour des habitants et la réparation des dégâts visibles, il peut rester des dégâts discrets, mais dangereux pour la santé, causés par l’ouragan, comme l’eau potable contaminée.
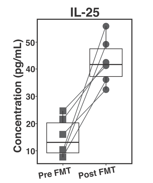
Afin de mieux comprendre comment l’environnement colique change chez les patients après un TMF et si un schéma clair émerge qui pourrait suggérer pourquoi les gens ont des symptômes persistants de SCI, les chercheurs ont collecté des biopsies et des échantillons de sang de patients avant et après le traitement par TMF. Ils ont ensuite réalisé des expériences moléculaires et biochimiques sur ces échantillons afin d’étudier comment le système immunitaire de l’hôte change en réponse au TMF. Par exemple, ils ont mesuré les niveaux de plusieurs protéines qui agissent comme des messagers transportant des informations entre les cellules immunitaires, appelées cytokines. L’une de ces protéines, l’interleukine 25 (IL-25), était significativement augmentée après un TMF (figure 3). Ceci est particulièrement intéressant car l’IL-25 est connue pour recruter des cellules anti-inflammatoires et est généralement impliquée dans ce qu’on appelle l’inflammation de type 23. Lorsque votre organisme combat une infection, la réponse immunitaire comporte deux phases. La phase 1 élimine le danger imminent et est appelée inflammation de type 1, tandis que la phase 2 nettoie et résout les dommages laissés par la phase 1. C’est ce qu’on appelle l’inflammation de type 2.

Dans votre côlon, cela équivaudrait à l’arrivée de la garde nationale dans la ville pour éradiquer la menace aiguë, le C. diff, puis à l’arrivée de travailleurs humanitaires (IL-25) pour soigner les citoyens qui reviennent à la santé et organiser un effort de nettoyage dirigé par les citoyens : l’inflammation de type 2. La constatation d’une augmentation des taux d’IL-25 suggère que le déclenchement d’une réponse immunitaire de type 2 après une TMF pourrait être important pour ramener l’environnement colique à un état sain. Bien que les taux d’IL-25 aient augmenté chez tous les patients, indépendamment de la persistance des symptômes du syndrome du côlon irritable, il s’agit d’une piste à explorer, car la taille de l’échantillon de cette étude était assez faible. Sur la base de leurs résultats, les scientifiques qui ont mené cette étude suggèrent qu’en complétant le TMF par une intervention qui augmenterait les niveaux d’IL-25, les médecins pourraient développer un traitement standardisé et universel contre le C-diff et, en fin de compte, être en mesure de mener des essais cliniques à grande échelle pour déterminer s’il existe des modèles qui émergent chez les patients présentant des symptômes persistants du SCI après un TMF.
Deux ans après l’intervention, vous ne souffrez plus d’infections récurrentes par le C-diff. Vous êtes très reconnaissant d’avoir subi une TMF et votre microbiome intestinal est florissant. En fait, vous avez même recruté plusieurs de vos amis pour qu’ils deviennent des donneurs de selles avec OpenBiome, une banque de selles à but non lucratif basée aux États-Unis qui s’efforce de rendre accessibles des échantillons de selles sûrs et fiables pour les TMF. En plus d’OpenBiome, d’autres banques de selles apparaissent dans le monde entier, notamment le Microbiome Treatment Center de l’université de Birmingham.
1. van Nood, E. et al. Duodenal Infusion of Donor Feces for Recurrent Clostridium difficile. N. Engl. J. Med. 368, 407–415 (2013).
2. Deng C, Peng N, Tang Y, Yu N, Wang C, Cai X, Zhang L, Hu D, Ciccia F and Lu L (2021) Roles of IL-25 in Type 2 Inflammation and Autoimmune Pathogenesis. Front. Immunol. 12:691559. doi: 10.3389/fimmu.2021.691559
Featured image: By author ; https://www.vectorstock.com/royalty-free-vector/viruses-cartoon-bacteria-emoticon-character-vector-21314254
Traduit par Anaïs Biclot