
De la microbiologie pour ceux qui ont les crocs
La santé dans l’espace et pourquoi les bactéries sont essentielles
Il faut des centaines de personnes et des milliers d’heures de travail pour préparer une seule mission spatiale. Des pages de calculs mathématiques, un étalonnage minutieux des équipements et, bien sûr, la prédiction des menaces potentielles pour les objectifs de la mission. Le succès d’une mission spatiale dépend également des astronautes, qui agissent comme des scientifiques hautement qualifiés, des ingénieurs, des médecins et même des athlètes. La santé d’un astronaute est en tête de liste des priorités, et beaucoup d’efforts sont déployés pour préserver son bien-être. Et c’est là que les micro-organismes jouent un rôle crucial…
Les microbes ne sont pas seulement omniprésents sur Terre. On les trouve également sur des structures habitées par des humains dans un environnement de vaisseau spatial strictement aseptisé et organisé. Pourquoi ? Parce que le microbiome normal de l’équipage “contamine” la zone. Dans n’importe quelles conditions défavorables et en l’absence de gravité, la composition microbienne peut soudainement changer, ce qui peut conduire au développement d’infections. L’un de ces organismes préoccupants est Streptococcus mutans. Cette bactérie est un agent responsable des caries dentaires, et il a été démontré que les missions spatiales de longue durée et l’exposition accrue à la microgravité et aux rayonnements sont corrélées avec une incidence accrue des maladies buccales chez les astronautes. En outre, on prévoit que les urgences dentaires seront l’un des principaux problèmes de santé des futures missions spatiales.
Fernander et son équipe (2022) ont mené une étude intéressante, dans laquelle ils ont analysé la réponse adaptative de S. mutans aux conditions de microgravité simulée. Bien que cet organisme soit bien étudié sur Terre, les scientifiques se demandent comment cette bactérie réagit à l’environnement spatial. Le S. mutans pourrait-il présenter un risque pour la santé humaine une fois dans l’espace ?
Mais qu’est-ce que la “microgravité” et comment peut-on la simuler ? Comme l’explique la NASA, “la condition de microgravité se produit lorsqu’un objet est en chute libre” (pensez aux manèges des parcs d’attractions qui se déplacent verticalement). Dans l’étude, les auteurs ont créé quelque chose de similaire à un état de chute libre. Ils ont testé deux populations de S. mutans : une qui s’est développée dans des conditions de gravité normale (groupe témoin) et l’autre dans des conditions de microgravité simulée.

La formation de caries dentaires dépend de deux facteurs : 1) un changement écologique qui favorise la croissance des bactéries productrices d’acide et 2) la présence de saccharose dont les bactéries se nourrissent. Les sucres ayant tendance à créer un environnement plus acide, le groupe s’est également concentré sur l’analyse des changements survenus dans les niveaux de tolérance à l’acide, les niveaux d’adhésion et la sensibilité aux antibiotiques dans des conditions de microgravité simulée.
Tolérance à l’acide
Pour développer une carie dentaire, la bactérie S. mutans doit d’abord adhérer à la surface d’une dent et former un biofilm appelé plaque dentaire (Figure 2). Si une plaque est maintenue en permanence à un pH inférieur à 5,4 (ce qui est acide), elle favorise la déminéralisation de l’émail de la dent.

Les chercheurs ont évalué les changements dans la tolérance à l’acide en exposant des populations bactériennes à des environnements acides pendant 0, 20, 30 et 45 minutes. Ils ont ensuite compté le nombre de colonies pour évaluer la survie et la capacité à tolérer des pH faibles (figure 3).

Ils ont découvert que l’adaptation à la gravité normale entraînait une nette réduction de la tolérance à l’acide, tandis qu’en microgravité simulée, les résultats étaient très variables. Il convient de mentionner que les chercheurs ont cultivé des cellules de manière planctonique, ce qui signifie que les bactéries vivaient librement (contrairement aux biofilms, qui ont une plus grande résistance aux fluctuations de l’environnement). La plaque dentaire est un exemple de biofilm, et les résultats de la même expérience auraient donc pu être différents si S. mutans avait été cultivé en biofilms.
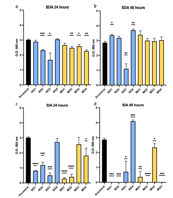
Adhésion
Parlons maintenant de l’adhésion. Elle se produit en présence de saccharose via des mécanismes dépendants (SDA) et indépendants (SIA) du saccharose. Si le premier est nécessaire pour l’attachement initial, le second est responsable de la virulence et de la pathogénicité. Les chercheurs ont cultivé des colonies bactériennes dans des conditions de gravité normale (NG) et de microgravité simulée (MG) pendant 100 jours, puis ont analysé les résultats. Comme le montre la figure 4, les mécanismes dépendants et indépendants du sucre se sont comportés de manière différente. Le groupe SDA a été à peine affecté par les conditions de microgravité. Au contraire, le groupe SIA a montré quelques variations phénotypiques, alors que certaines colonies bactériennes (en gravité normale et en microgravité) n’ont pas réussi à adhérer à la surface. Toutefois, cela ne signifie pas que ces résultats seraient universels pour toutes les expériences similaires menées à l’avenir. Les auteurs de l’article expliquent comment il peut être problématique de prédire l’influence de l’environnement de sélection (c’est-à-dire l’environnement spatial) sur ce phénotype [adhésion de S. mutans aux surfaces].

Sensibilité aux antibiotiques
Les S. mutans sont très étudiés sur Terre, et sont traités à l’aide d’antibiotiques. Cependant, l’espace étant un environnement extraterrestre, le groupe de recherche s’est posé la question suivante : Comment cette bactérie va-t-elle réagir aux traitements dans l’espace ? Ils ont testé six antibiotiques différents : amoxicilline, pénicilline, clindamycine, érythromycine, méthicilline et vancomycine. Il s’est avéré que les conditions de microgravité simulée n’ont pas provoqué de changement significatif de la sensibilité ! Les scientifiques ont seulement enregistré une légère augmentation de la sensibilité à l’érythromycine et une augmentation de la résistance à la clindamycine.
Note finale
Sur la base des résultats recueillis, l’équipe de recherche a conclu que l’environnement de microgravité présentait une force de sélection supérieure à celle d’une gravité normale. Cela signifie que les conditions en l’absence de gravité sont plus difficiles à modifier, ce qui ralentit considérablement le rythme d’une mutation et, au contraire, si l’environnement est susceptible de changer, un plus grand nombre de mutations pourrait avoir lieu.
L’étape suivante consiste à étudier les gènes (et les protéines qui en résultent) qui permettent à S. mutans de s’adapter à ces conditions inhabituelles. L’aptitude accrue de ces bactéries dans l’espace peut présenter certains risques pour les astronautes, comme le développement de problèmes dentaires indésirables, même dans l’espace. Et en attendant la solution, espérons que les astronautes ne s’adonnent pas à une consommation excessive de sucre à bord de leur vaisseau spatial !
Article original: Fernander, M.C., Parsons, P.K., Khaled, B. et al. Adaptation to simulated microgravity in Streptococcus mutans. npj Microgravity 8, 17 (2022).
Image: https://www.asc-csa.gc.ca/eng/search/video/watch.asp?v=1_40lih8na
Traduit par Lucie Malard